Other Threads Mention Not Having To Remove The Belt Around The Fan Blade, But That Must Be For Other Engines Because On This One You Do.
Slowly turn the tensioner clockwise until it connects with the belt and holds it in place. We offer a full selection of genuine toyota tundra drive belts, engineered specifically to restore factory performance. Route belt over tensioner pulley
Anyone Looking For A Diagram For A 2006 V6 Toyota Tacoma Belt Has Quite A Few Options To Choose From.
New to the group and i've but not able to find a serpentine belt diagram for a 2015 tundra 4.6l. Run the replacement belt around the pulleys, according to the belt routing diagram in the owner's manual or under the hood. A serpentine belt diagram for 2002 toyota tundra engine.
Align The Grooves In The Belt With The Grooves Of Pulleys That Have Grooves.
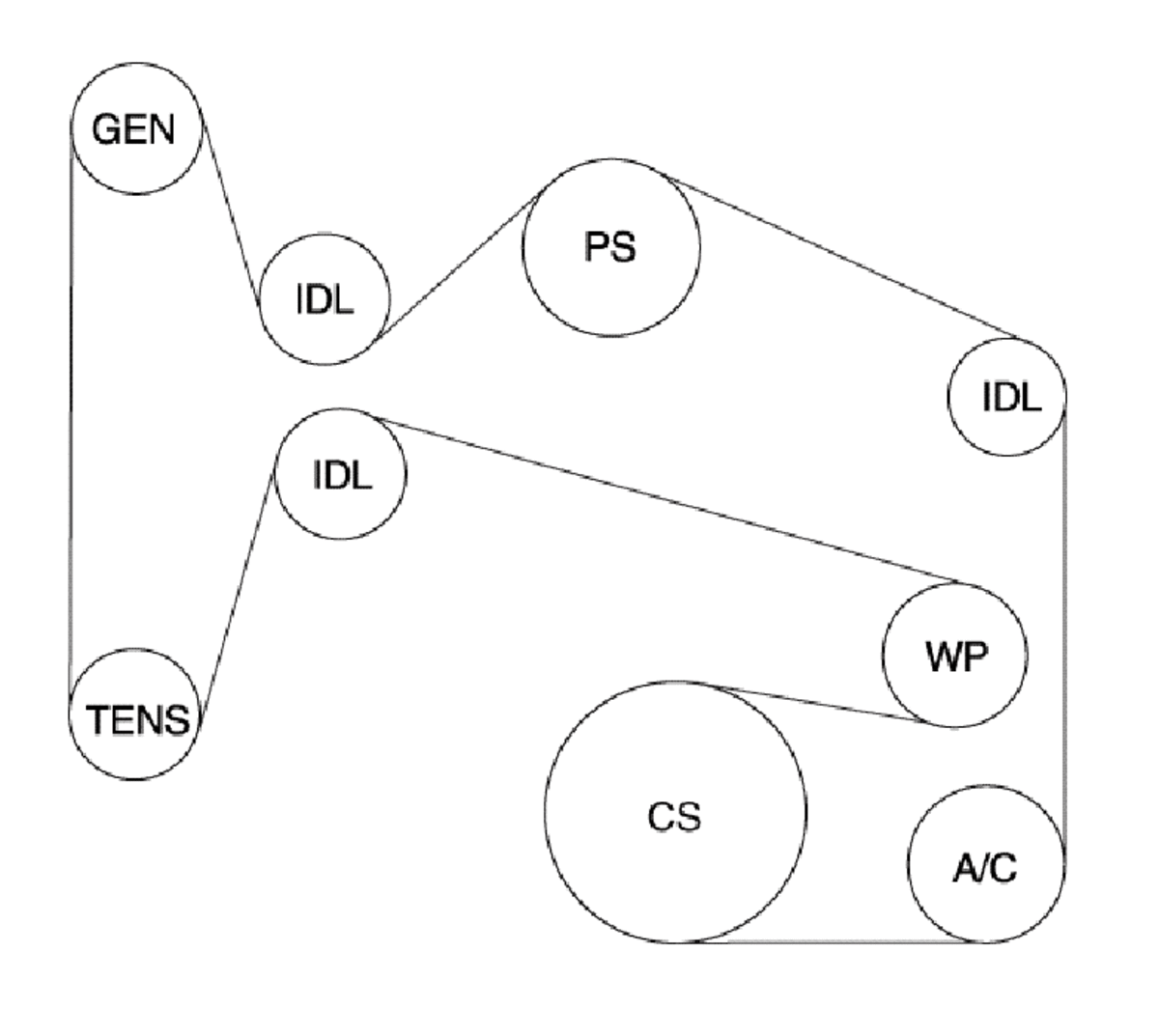
Put tension on tensioner pulley; Need help o2 oxygen sensor bosch toyota tundra forums. For anybody who needs it, here is a diagram showing the routing for the serpentine belt:
A Failing Drive Belt Could Affect The Performance Of Your Vehicle's Auxiliary Systems, Not To Mention A Loud Squealing Sound From Under The Hood.
Leave the tensioner pulley for last. If this isn't what you are looking for, take a look over at fixya.com, a general site for mechanical or electrical. Select the specific year and make of your vehicle.
On Top Of Low Prices, Advance Auto Parts Offers 2 Different Trusted Brands Of Serpentine Belt Products For The 2006 Toyota Tundra.
Route belt around all pulleys but tensioner; Here below is a sequence that forum super moderator hardtopte72 recommends for installing this belt: 2004 toyota tundra o2 sensor diagram html auto engine.